12.8EXERCISES
12.8.1Theory Questions
Q1.What is a graph? Explain its features.
Q2.What do you understand about a complete graph?
Q3.What is a multi-graph?
Q4.How can a graph be represented in the computer’s memory?
Q5.Differentiate between a directed and undirected graph with an example of each.
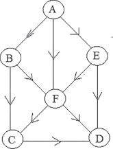
Q6.Consider the following graph and find the following:
a.Adjacency Matrix Representation
b.Degree of each node
c.Is the graph complete?
d.Pendant nodes

Q7.Explain why adjacency list representation is preferred for storing sparse matrices over adjacency matrix representation.
Q8.What are the different types of graph traversal techniques? Explain each of them in detail with the help of an example.
Q9.What do you understand about topological sort?
Q10.In what kind of graphs can topological sorting be used?
Q11.Differentiate between the Breadth-First Search and Depth-First Search.
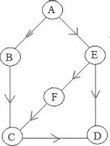
Q12.Consider the following graph and find out its BFS and DFS traversal.

Q13.What is a spanning tree?
Q14...