Searching shortest paths
Shortest-path search is extensively utilized across various scenarios such as route optimization, driving navigation, electrical network optimization, and even path planning in electronic games.
GQL offers a robust shortest-path search feature.
Specifying a shortest-path search
To specify a shortest-path query, the SHORTEST keyword can be incorporated into the path pattern.
Additionally, the shortest-path search supports the use of the ALL and ANY prefixes.
The SHORTEST prefix also follows the partition rules like other path search prefixes. It groups paths based on their starting and ending nodes, which are the first and last nodes in each path.
ALL SHORTEST
ALL SHORTEST path search returns all of the shortest paths with the same minimum length for each pair of endpoints.
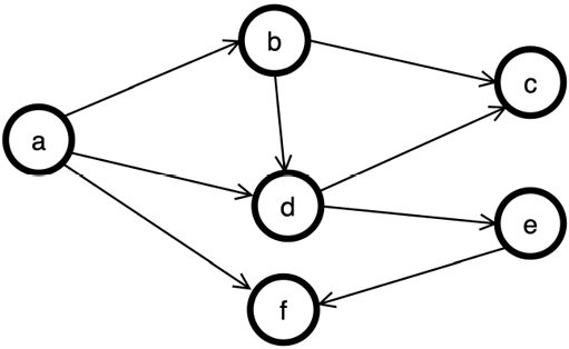
For practice, we will update the graph shown in Figure 7.4 to the one in Figure 7.5 by adding an f node and its related edges.

Figure...