Chapter 5
(5.1)
(a)It’s valid, because
2 +
2 +
2 = 1∕3+1∕3+1∕3 = 1.
(b)It’s valid, because
2 +
2 +
2 +
2 = 1∕4 + 1∕4 + 1∕4 + 1∕4 = 1.
(c)It’s valid, because
2 +
2 = 1∕2 + 1∕2 = 1.
(d)It’s valid, because
2 +
2 = 1∕2 + 1∕2 = 1.
(e)It’s not valid, because
2 +
2 +
2 = 4∕3 + 4∕3 + 1∕3 = 9∕3≠1.
(f)It’s valid, because
2 = 1.
(g)It’s not valid, because
2 +
2 = 5≠1.
(h)It’s valid, because
2 +
2 = 2∕3 + 1∕3 = 1.
The values of x that would make 
+ x
a valid state are those of the form ei𝜃
, where 𝜃 is any real number, because
2 +
2 =
2 +
2 = 1∕4 + 3∕4 = 1.
(5.2)
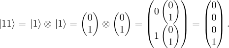
It is easy to see that
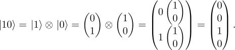
Also, we have that
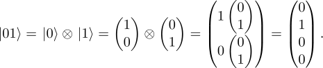
Finally, it holds that
(5.3)
Denote
Then it holds that
From this, it follows that
We also know that
and that
Adding these two vectors together gives us the...